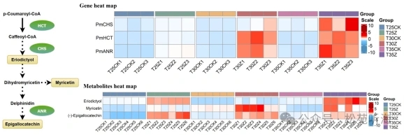
近日,貴州大學貴州省森林資源與環境研究中心丁貴杰教授團隊以中國亞熱帶重要的鄉土樹種馬尾松為材料,采用連續和梯度兩種高溫干旱脅迫的方法,通過轉錄組、代謝組和基因功能驗證等手段,闡明了基本的代謝途徑,鑒定了核心代謝物和調控基因。相關研究成果在國際權威期刊《經濟作物與產品》(Industrial crops and products)上發表。

當前,全球工業化排放大量的溫室氣體,導致地球表面溫度升高,加劇了高溫干旱對林木的負面影響。研究發現,全球范圍內高溫干旱導致林木大量死亡,已成為制約森林生產力和質量效益提升的瓶頸。因此,為提高對未來森林生態系統生存和發展趨勢的預測精度,深入探究樹木在高溫干旱脅迫下的響應機制尤為迫切。

該研究通過采用兩種不同的脅迫模式,構建了多組對比實驗以分析高溫干旱脅迫對馬尾松的影響,并從多組學角度系統地闡明了馬尾松對高溫和干旱聯合脅迫響應的關鍵代謝途徑及調控基因。
研究結果顯示,梯度高溫干旱脅迫對馬尾松幼苗的影響比連續高溫干旱脅迫更為顯著,黃酮類化合物的生物合成是應對共脅迫的主要代謝途徑。這些發現不僅為今后的靶向遺傳改良研究提供了理論基礎,也為馬尾松種質資源的開發與利用提供了重要的科學依據。(來源:天眼客戶端)
編輯:張蟬
責編:李旭鋒
編審:丁龍








